Monthly Avg. Model (vs. Interim) Bias
MSLP F Ens 1 F Ens 2 F Ens 3 F Ens 4 B Ens 1 B Ens 2 B Ens 3 B Ens 4
H50Z F Ens 1 F Ens 2 F Ens 3 F Ens 4 B Ens 1 B Ens 2 B Ens 3 B Ens 4
T2M F Ens 1 F Ens 2 F Ens 3 F Ens 4 B Ens 1 B Ens 2 B Ens 3 B Ens 4
Abs. SH Flx F Ens 1 F Ens 2 F Ens 3 F Ens 4 B Ens 1 B Ens 2 B Ens 3 B Ens 4
Abs. LH Flx F Ens 1 F Ens 2 F Ens 3 F Ens 4 B Ens 1 B Ens 2 B Ens 3 B Ens 4
Abs. MH Flx F Ens 1 F Ens 2 F Ens 3 F Ens 4 B Ens 1 B Ens 2 B Ens 3 B Ens 4

Monthly Avg. F-Model Ens. (vs. Interim) Bias
MSLP T2M H50Z SHFLX LHFLX MFLX

Monthly Avg. B-Model Ens. (vs. Interim) Bias
MSLP T2M H50Z SHFLX LHFLX MFLX

Monthly Avg. F-B Model Bias
MSLP T2M H50Z SHFLX LHFLX MFLX

Daily variability
Fractional MSLP T2M H50Z SHFLX LHFLX MFLX
Binary MSLP T2M H50Z SHFLX LHFLX MFLX
Interim MSLP T2M H50Z SHFLX LHFLX MFLX

Sea-ice 2007 Diagnostics
Daily RMSD June July August September October November December
Daily Sea-ice Conc. June July August September October November December

Profiles
Grid point Temperature T-Daily Wind

Daily Winds
September October

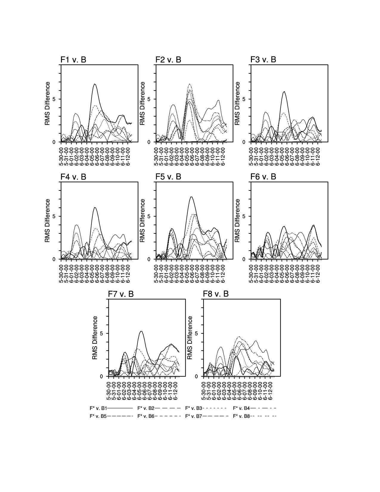
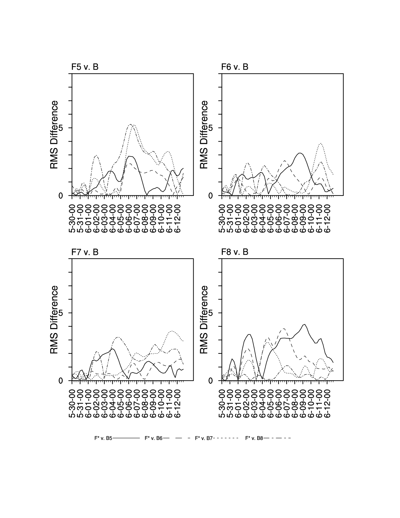
8-member Ensembles(F1-053000,F2-052812,F3-052912,F4-052900,F5-052412,F6-052512,F7-052612,F8-052712 | Init:B1-052812,B2-052900,B3-052912,B4-053000,B5-052500,B6-052600,B7-052700,B8-052800)
Model Ens. Monthly Avg. 5-8 F-MSLP B-MSLP F-H50Z B-H50Z F-T2M B-T2M
   1-4 F-MSLP B-MSLP F-H50Z B-H50Z F-T2M B-T2M
Monthly Avg. Model Diff MSLP T2M SST-T2M H85T H70T H85Z H70Z H50Z H40Z H30Z 10-m Wind 400hPa Wind 300hPa Wind Upward Wind SHFLX LHFLX MFLX
Monthly Avg. September (1-15 - 15-30) Diff MSLP T2M H50Z SHFLX
Monthly Avg. T-RH Profiles June July Aug Sept Oct Nov
Daily Avg. T-RH Profiles 09 Pt. 1 Pt. 2 Pt. 3 Pt. 4 Pt. 5 Pt. 6 Pt. 7 Pt. 8 Pt. 9 Pt. 10
   10 Pt. 1 Pt. 2 Pt. 3 Pt. 4 Pt. 5 Pt. 6 Pt. 7 Pt. 8 Pt. 9 Pt. 10
2-week Ensemble RMSD (Focus area Avg.) H50Z F-B H50Z F-B (5-8) MSLP F-B MSLP F-B (5-8) H50Z Ens-Ens H50Z Ens-Ens (5-8) MSLP Ens-Ens MSLP Ens-Ens (5-8) H50Z Spread MSLP Spread
2-week Ensemble RMSD (Domain Avg.) H50Z F-B (5-8) MSLP F-B (5-8) H50Z Ens-Ens (5-8) MSLP Ens-Ens (5-8) H50Z Spread MSLP Spread H50Z 2 MSLP 2
   Net H50Z Spread Net MSLP Spread Net F-B H50Z RMSD Net F-B MSLP RMSD
Daily MSLP-H50Z MSLP-LG MSLP-SM1 MSLP-SM2 H50Z-LG H50Z-SM1 H50Z-SM2
SW/LW Radiation Daily Avg.(Aug-Oct) Monthly Avg.(Aug-Oct) Monthly Avg.(Aug-Oct) Monthly Avg. F-B
Spreads (Domain-ensemble averaged) MSLP H50Z T2M SHFLX

New Binary
Sea-Ice Area August September October
Monthly Avg. Model Diff MSLP T2M H50Z 10-m Wind 400hPa Wind 300hPa Wind Upward Wind SHFLX
Daily Animation MSLP
Daily Variability MSLP T2M H50Z SHFLX LHFLX MFLX
MSLP (mean v st. dev.)
Daily MSLP-H50Z MSLP-LG (OLD) MSLP-LG
Daily MSLP Animation August Fraction August Binary October Fraction October Binary
Daily T Profiles October Point 1(SHF-11) Point 2(SHF+18) Point 3(SHF-16) Point 4(SHF+2) Point 5(SHF+17)
Point 6(SHF+29) Point 7(SHF+22) Point 8(SHF+20) Point 9(SHF+24) Point 10(SHF-11)
Monthly T Profiles October Point 1 Point 2 Point 3 Point 4 Point 5
Point 6 Point 7 Point 8 Point 9 Point 10
Distribution Statistics Mean-Range Range-Standard Deviation Mean-Standard Deviation Mean-Quartiles Skewness Kurtosis
Regimes 7-Day (Regime-1) 7-Day (Regime-2) 11-Day (Regime-1) 11-Day (Regime-2)
Storm tracks October 500hPa October 850hPa October (1-15) 500hPa October (1-15) 850hPa